Description
This opportunity presents a three-bedroom detached house with a generous 0.4-acre rear plot (including workshop and shed), offered with vacant possession and no planning consent. Located just a 7-minute drive from Stansted Airport, it combines immediate occupation with substantial development upside.
✨ Key Highlights
- Property Type: Detached house (Class C3) on freehold land
- Bedrooms: 3 bedrooms, 1 bathroom
- Site Area: 0.4 Acres (≈1,619 sqm)
- Outbuildings: Workshop and garden shed
- Planning Status: None (ideal for bespoke design)
- Access: 7 mins by car to Stansted Airport; Elsenham railway station on West Anglia Main Line; bus routes 7/7A to Stansted
- Tenure: Freehold
Local Market Benchmark:
The average house price in Elsenham (CM22) is £457,302, with detached homes averaging £563,409. The median price per sqm in CM22 6 is £4,520.
Planning Permission Uplift:
Infill plots in Essex typically see land-value uplifts of 100–300% once residential planning is secured, while local approval rates are around 70–75%.
📝 Description
Nestled in the heart of the charming village of Elsenham, this three-bedroom detached house offers both immediate occupation and substantial scope for growth. Currently providing comfortable accommodation, the existing home sits forward on a deep plot extending to approximately 0.4 acres. At the rear, a secure workshop and garden shed occupy mature grounds, perfect for hobbyists or storage.
Location & Connectivity
Moreover, Elsenham is renowned for its community spirit. The village boasts a Tesco Express, Memorial Hall, cricket and tennis clubs, plus play parks and allotments for family enjoyment. Commuters benefit from Elsenham station—just a short walk—serving the West Anglia Main Line direct to London and Stansted Airport. Bus routes 7 and 7A also link residents to Bishop’s Stortford and Henham before reaching the airport.
Development Potential
Without current planning consent, buyers have a blank canvas to design a bespoke scheme—whether that’s extending the existing home, subdividing the rear land for an additional dwelling, or crafting luxury gardens. Given local planning trends, well-conceived applications in Uttlesford have a 70–75% success rate, and infill plots often double or triple in value post-consent.
Investment Appeal
Finally, the proximity to Stansted Airport (4 miles; 7 minutes by car) and strong local price growth (7.5% nominal over the past year) make this a compelling proposition for both owner-occupiers and investors. With average detached values at £563,409, there is an immediate paper uplift of over £63,000 if aligned with market norms, and substantially more with planning permission.
💼 Investment Potential & ROI Analysis

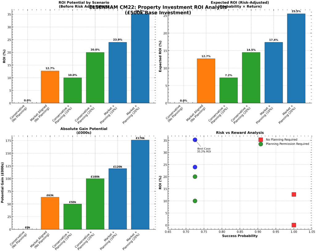
Figure 1: Elsenham CM22 Property Investment ROI Analysis.
Scenario Summary
| Scenario | Value (£) | Gain (£) | ROI (%) | Success Probability | Expected ROI |
|---|---|---|---|---|---|
| Conservative (No Planning) | 500,000 | 0 | 0.0% | 100% | 0.0% |
| Market Aligned (No Planning) | 563,409 | 63,409 | 12.7% | 100% | 12.7% |
| Conservative + Planning (10%) | 550,000 | 50,000 | 10.0% | 72.5% | 7.2% |
| Conservative + Planning (20%) | 600,000 | 100,000 | 20.0% | 72.5% | 14.5% |
| Market + Planning (10%) | 619,750 | 119,750 | 23.9% | 72.5% | 17.4% |
| Market + Planning (20%) | 676,091 | 176,091 | 35.2% | 72.5% | 25.5% |
📊 Quick Specs
| Guide Price | Offers over £500,000 |
|---|---|
| Bedrooms | 3 |
| Bathrooms | 1 |
| Site Area | 0.4 Acres (≈1,619 sqm) |
| Workshop & Shed | ✔ |
| Planning Status | None |
| Tenure | Freehold |
📍 Map

📄 EPC
Energy Performance Certificate: Rating D (available on request)
📑 Legal Pack
📍 Location
High Street, Elsenham, Essex, CM22. Full address in legal pack.
🎥 Property Video
Coming soon on request.
🖼️ Media Links
🔗 Internal & External Links
- Internal: Auction Calendar
- Internal: Auction Process
- External: Uttlesford District Council Planning
- External: Stansted Airport Transport
- External: Elsenham Village Guide
🏷️ Amenities
Amenities:
• 🔧 Workshop & shed
• 🌳 Private rear garden on 0.4 acre
• 🚗 7 mins to Stansted Airport
• 🚆 Elsenham station on West Anglia Main Line
• 🚌 Bus routes 7/7A to Stansted Airport
• 🏫 Local primary school & village amenities
